Lý thuyết chia một số tự nhiên cho một số thập phân — Không quảng cáo

Toán lớp 5, giải toán lớp 5, giải bài tập sgk toán 5 (sách mới)


Lý thuyết chia một số tự nhiên cho một số thập phân

a) Tính rồi so sánh kết quả tính:

a) Tính rồi so sánh kết quả tính:

\(25 : 4\) và \((25 \times 5) : (4 \times 5)\)

\(4,2 : 7\) và \( ( 4,2 \times 10) : (7 \times 10)\)

\(37,8 : 9\) và \( (37,8 \times 100) : (9 \times 10)\)

Khi nhân số bị chia và số chia cùng một số khác \(0\) thì thương không thay đổi.

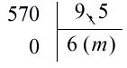
b) Ví dụ 1: Một mảnh vườn hình chữ nhật có diện tích \(57m^2\) , chiều dài \(9,5m\). Hỏi chiều rộng của mảnh vườn là bao nhiêu mét?

Ta phải thực hiện phép chia:       \(57 : 9,5 = \,?\; m\)

Ta có:       \(57 : 9,5 = (57 \times 10 ) : (9,5 \times 10)\)

\(57 : 9,5 = 570 : 95\)

Thông thường ta đặt tính rồi làm như sau:

Phần thập phân của số \(9,5\) có một chữ số .

Viết thêm một chữ số \(0\) vào bên phải \(57\) (số bị chia) được \(570\); bỏ dấu phẩy ở số \(9,5\) được \(95\).

Thực hiện phép chia \(570 : 95\).

Vậy:       \(5,7 : 9,5 = 6 \;(m)\).

c) Ví dụ 2:      \(99 : 8,25 = \;?\)

Ta đặt tính rồi làm như sau:

Phần thập phân của \(8,25\) có hai chữ số .

Viết thêm hai chữ số \(0\) vào bên phải \(99\) được \(9900\); bỏ dấu phẩy ở \(8,25\) được \(825\)

Thực hiện phép chia \(9900: 825\).

Muốn chia một số tự nhiên cho một số thập phân ta làm như sau:

- Đếm xem có bao nhiêu số thập phân ở phần thập phân của số chia thì viết thêm vào bên phải số bị chia bấy nhiêu chữ số \(0\).

- Bỏ dấu phẩy ở số chia rồi thực hiện phép chia như chia các số tự nhiên.


Cùng chủ đề:

Bài 5 trang 178 SGK Toán 5
Giải Toán lớp 5 trang 3 SGK - Ôn tập: Khái niệm về phân số
Lý thuyết bảng đơn vị đo thời gian
Lý thuyết chia một số thập phân cho 10, 100, 1000,
Lý thuyết chia một số thập phân cho một số tự nhiên
Lý thuyết chia một số tự nhiên cho một số thập phân
Lý thuyết chia một số tự nhiên cho một số tự nhiên mà thương tìm được là một số thập phân
Lý thuyết chia số thập phân cho một số thập phân
Lý thuyết chia số đo thời gian cho một số
Lý thuyết chu vi hình tròn
Lý thuyết cộng hai số thập phân